sheet metal gauge weight chart pdf
Mm Galvanized Sheet in. 38 rows The chart below can be used to determine the equivalent sheet thickness in inches or millimeters for a gauge number from the selected gauge size standard.
Vehicle Inspection Checklist Template 2 Free Templates In Intended For Vehicle Checklist Template Word Cumed Org
SWG - Standard Wire Gauge - Imperial Standard.
. Quintus Technologies World leader in high pressure technology. Gauge Sheet Steel Galvanized Steel Stainless Steel Aluminum Gauge. Sheet and Plate Weight Chart in kg mm Sheet and Plate Weight Chart in kg Plate Weight Chart in kg MS plate weight chart in Kg Ms Plate Standard Size chart in India Ms Plate Standard Size.
Get A Quote Today. The weight per unit. Specifications for Perforated Sheets are mentioned below.
Gauge Gauge Decimal Weight Gauge Decimal Weight Gauge Decimal Weight Gauge Decimal Weight Gauge Decimal Weight Gauge Decimal Weight inches lbft2inches inches lbft. Get A Quote Today. Ad Increase your capacity by up to 80 with Quintus high pressure metal forming.
Ad Real-Time Sheet Metal Pricing And Lead Times. Per unit area of the sheet can also be seen in pounds per square foot and kilograms per square meter. This is called the steel plate manufacturers standard.
If any of the specifications are not mentioned here please get in touch with us 91 22 2386 1500. Gague are used to specify the thickness of a metal sheet. For full table with Stainless Steel.
Weight Thickness Weight Thickness Weight Thickness. SHEET METAL GAUGE THICKNESS FOR FERROUS AND NONFERROUS METALS Thickness Ferrous Metals Nonferrous Metals Gauge No. An Endless Assortment on One Easy-to-Use Site.
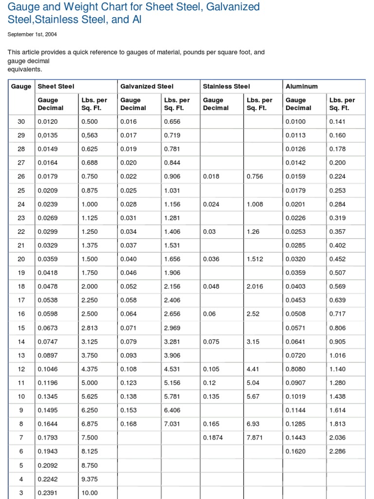
This article provides a quick reference to gauges of material pounds per square foot and gauge decimal equivalents. Fast Easy-To-Use And Fully Configurable Sheet Metal Quotes. The sheet metal thickness gauge for steel is based on a weight of 4182 pounds per square foot per inch of thickness.
The sheet metal thickness gauge for steel is based on a weight of 4182 pounds per square foot per inch of thickness. Sheet Metal Thickness Gauge Chart in Inches Gauge Mild Steel Aluminum Galvanized Steel Stainless Steel 3 02391 02294 02500 4 02242 02043 02344 5 02092. Sheet Metal Gauge Thickness Chart 2019-10-24T0136330000 When working with sheet metal the term gauge is often used.
Socket Head Cap Screws. Upload A Part Today. The chart below can be used to determine the equivalent.
Ad Real-Time Sheet Metal Pricing And Lead Times. Steel Stainless Steel Aluminum Brass etc. Fast Easy-To-Use And Fully Configurable Sheet Metal Quotes.
Ad Millions of Customers Choose Zoro. 53 rows Kynar Galvalume Steel for metal roofing and gutters. Register for Free Shipping on Orders over 50.
Sheet Metal Gauges Weights. Register for Free Shipping. Gauge and weight chart for sheet steel galvanized steel stainless steel aluminum and strip tubing.
Steel Stainless Steel Aluminum Brass etc. PERFORATED METAL GAUGES THICKNESSES WEIGHTS GAUGES THICKNESSES WEIGHTS BY PRIMARY MATERIAL 26 GAUGE TO 12 THICK TABLE uperior Service Q uality and. Upload A Part Today.
Ad Find discounts on Sheet metal gauge. Search Save Online Today. Thickness Ferrous Metals Nonferrous Metals Gauge No.
Gauge And Weight Chart Steel Stainless Steel Galvanized Steel And Aluminium Bodybuilding Com Forums
Gauge And Weight Chart For Sheet Steel Pdf
Schedule 40 Steel Pipe Dimensions Price Weight And Pressure Rating
Conversion Chart For Wire Gauge To Mm Valid Wire Gauge Chart Millimeters Save Conversion Chart Gauge Mm Inch Conversion C Printable Chart Reference Chart Chart
Chart For Yarn Weight And Gauge Yarn Weight Chart Knitting Help Knitting Instructions
Aluminium Pipes Weight Chart Inox Steel India
Gauge And Weight Chart For Sheet Steel Pdf
Gauge And Weight Chart Steel Stainless Steel Galvanized Steel And Aluminium Bodybuilding Com Forums
Yarn Weights Cheat Sheet By Crochetpedia
Vintage Crochet Pattern Lacy Hearts Crochet Afghan Pattern Crocheted Blanket Worsted Weight Yarn Pdf Instant Download
Gauge And Weight Chart Steel Stainless Steel Galvanized Steel And Aluminium Bodybuilding Com Forums
Find Out Steel Pipe Dimensions Sizes Schedule 40 80 Pipe Means
Bspp Pipe Thread Chart Home Design Ideas
Stainless Steel Pipe Chart Tork Systems Inc
Gauge And Weight Chart Steel Stainless Steel Galvanized Steel And Aluminium Bodybuilding Com Forums

